
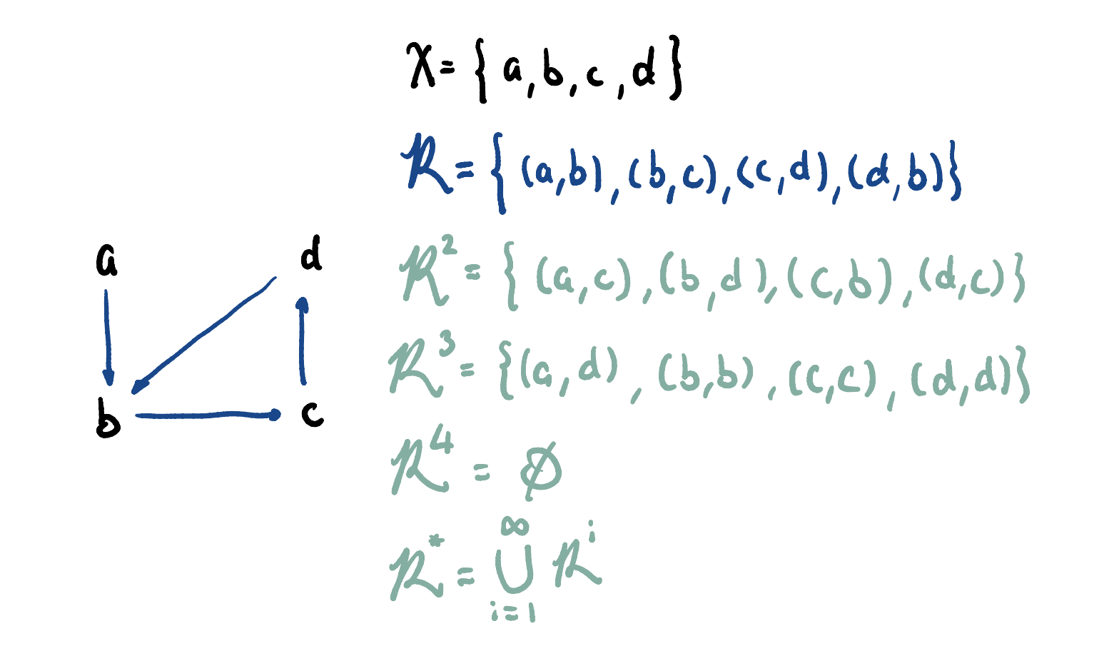
Let:
- be the set of elements
- be the set of relations
- be the set of relations which can be reached from two hops of relations in
- For example,
(a,c)is reached by going through(a,b) -> (b,c)
- For example,
- is the entire transitive closure over

Let:
(a,c) is reached by going through (a,b) -> (b,c)